您当前的位置:1929cc威尼斯-威尼斯87978797 > 要闻动态 > 公告公示
河源市高新技术开发区有限公司招聘工作人员 综合成绩公示及进入体检名单
来源:本网时间:2020-09-02 17:12:50
字体【 大 中 小】
保护视力色:
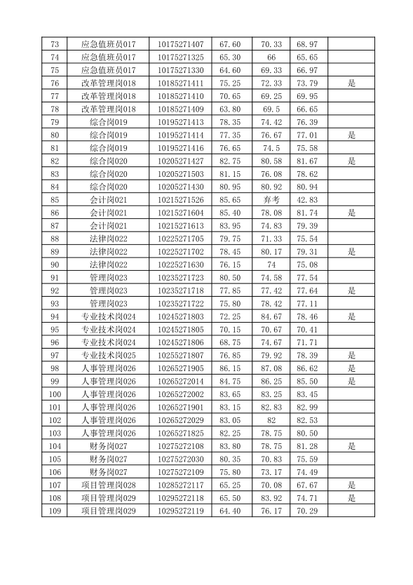
8月30日上午,我司组织应聘人员进行了面试,现将综合成绩及进入体检名单予以公示。我司定于近期组织体检,请进入体检环节的应聘者留意短信。咨询电话:0762-3602289。
附件:河源市高新技术开发区有限公司招聘工作人员综合成绩公示及进入体检名单.pdf
2020年9月2日



分享到:
扫一扫在手机打开当前页
主办单位:河源市高新技术开发区管理委员会承办单位:河源市高新区党政办公室
联系地址:广东省河源市高新区高新二路163号联系电话:0762-3601813招商咨询热线: 0762-3869188
网站标识码 4416000039




